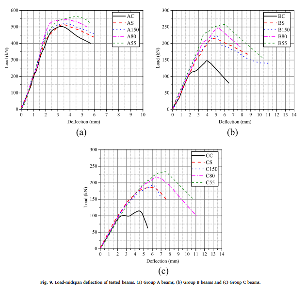
The paper proposes a new type of fiber-reinforced polymer (FRP) shear reinforcements for reinforced concrete (RC) beams. The specimens are shear reinforced with carbon fiber-reinforced polymer mesh fabric (CFRP-MF) configuration rather than traditional steel stirrups. The shear behaviors of the 15 concrete beams reinforced in shear with CFRP-MF configuration or with/without steel stirrups (as control specimens) was investigated in this paper. The variables of the investigation include shear span-depth ratio (a/d = 1.0, 2.5 and 3.5) and the shear reinforcement ratio of CFRP-MF composites (0.036%, 0.067% and 0.097%). The experimental results indicate that the concrete beams reinforced in shear with the CFRP-MF configuration have similar shear behaviors to the corresponding RC control beams reinforced in shear with steel stirrups especially in overall load-deflection relationship, shear strength, and the crack pattern of ultimate state. The predictions of the specimens’ shear strength by using shear design provisions in ACI 440.1R-15, CSA S6-14 and CSA S806-12 are examined and compared.
 
                             
 
                             
 
 
 
                             
 
 论文下载链接:https://doi.org/10.1016/j.engstruct.2020.110828